Упр.157 ГДЗ Колягин Ткачёва 11 класс (Алгебра)
Решение #1
Решение #2

Рассмотрим вариант решения задания из учебника Колягин, Ткачёва, Фёдорова 11 класс, Просвещение:
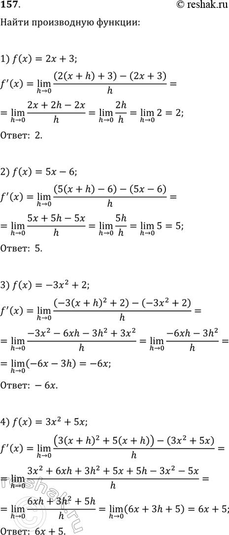
157. Используя определение производной, найти производную функции:
1) f(x) = 2х + 3;
2) f(x) = 5х - 6;
3) f(x) = -3х2 + 2;
4) f(x) = 3х2 + 5х.
*размещая тексты в комментариях ниже, вы автоматически соглашаетесь с пользовательским соглашением