Упр.167 ГДЗ Колягин Ткачёва 11 класс (Алгебра)
Решение #1
Решение #2

Рассмотрим вариант решения задания из учебника Колягин, Ткачёва, Фёдорова 11 класс, Просвещение:
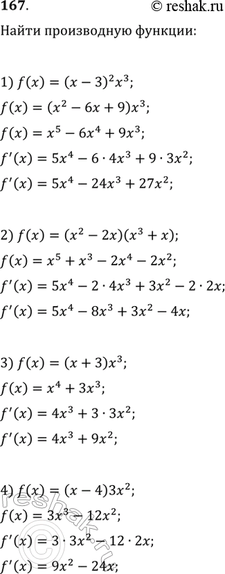
167. Найти производную функции:
1) (х-3)2х3;
2) (х2 - 2х)(х3 + х);
3) (х + 3)х3;
4) (х - 4)3х2.
*размещая тексты в комментариях ниже, вы автоматически соглашаетесь с пользовательским соглашением