Упр.170 ГДЗ Колягин Ткачёва 11 класс (Алгебра)
Решение #1
Решение #2

Рассмотрим вариант решения задания из учебника Колягин, Ткачёва, Фёдорова 11 класс, Просвещение:
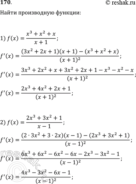
170. Найти производную функции:
1) x3+x2+x/x+1;
2) 2x3+3x2+1/x-1.
*размещая тексты в комментариях ниже, вы автоматически соглашаетесь с пользовательским соглашением