Упр.201 ГДЗ Колягин Ткачёва 11 класс (Алгебра)
Решение #1
Решение #2

Рассмотрим вариант решения задания из учебника Колягин, Ткачёва, Фёдорова 11 класс, Просвещение:
201. 1) (x+3)8;
2) (x-4)7;
3) корень 3 степени x-2;
4) корень x+5;
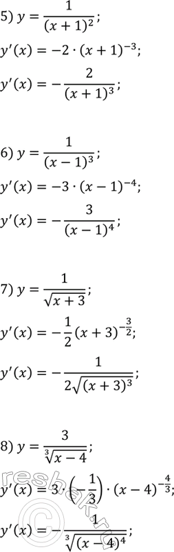
5) 1/(x+1)2;
6) 1/(x-1)3;
7) 1/корень x+3;
8) 3/ корень 3 степени x-4.
*размещая тексты в комментариях ниже, вы автоматически соглашаетесь с пользовательским соглашением