Упр.210 ГДЗ Колягин Ткачёва 11 класс (Алгебра)
Решение #1
Решение #2

Рассмотрим вариант решения задания из учебника Колягин, Ткачёва, Фёдорова 11 класс, Просвещение:
Найти производную функции (210—214).
210. 1) корень 3 степени 2x-1/3 + ln 2x+3/5;
2) корень 1-x/6 - 2ln 2-5x/3;
3) 2e^1-x/3 + 3cos1-x/2;
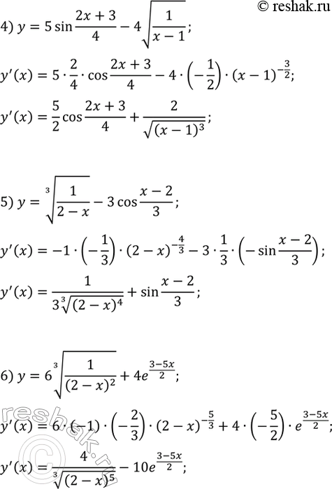
4) 5sin 2x+3/4 - 4 корень 1/x-1;
5) корень 3 степени 1/2-x - 3cos x-2/3;
6) 6 корень 3 степени 1/(2-x)2 + 4e^3-5x/2.
*размещая тексты в комментариях ниже, вы автоматически соглашаетесь с пользовательским соглашением