Упр.248 ГДЗ Колягин Ткачёва 11 класс (Алгебра)
Решение #1
Решение #2

Рассмотрим вариант решения задания из учебника Колягин, Ткачёва, Фёдорова 11 класс, Просвещение:
248. 1) 1/5x2+ 2lnx - cosx;
2) 1/4x2-ex + 2sin x;
3) 15 корень 5 степени x+ ex - 6tgx;
4) 6 корень 6 степени x - lnx + 1/3cosx;
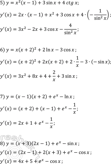
5) x2(x - 1) + 3 sinx + 4 ctgx;
6) x (x + 2)2 + 2lnx- 3 cosx;
7) (x - 1)(x + 2) + ex - lnx;
8) (x + 3)(2x - 1) + ex - sinx.
*размещая тексты в комментариях ниже, вы автоматически соглашаетесь с пользовательским соглашением