Упр.311 ГДЗ Дорофеев Суворова 7 класс (Алгебра)
Решение #1

Рассмотрим вариант решения задания из учебника Дорофеев, Суворова, Бунимович 10-11 класс, Просвещение:
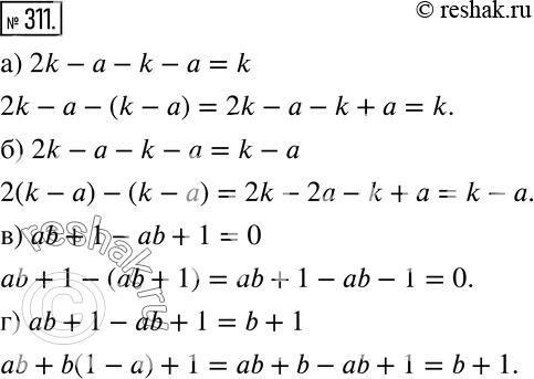
311 Рассуждаем Расставьте скобки так, чтобы путём преобразования левой части равенства можно было получить правую часть:
а) 2k-a-k-a = k;
б) 2k - a - k - a = k - a;
в) ab + 1 - ab + 1 = 0;
г) ab + 1 - ab + l = b + 1.
*размещая тексты в комментариях ниже, вы автоматически соглашаетесь с пользовательским соглашением