Упр.565 ГДЗ Дорофеев Суворова 7 класс (Алгебра)
Решение #1

Рассмотрим вариант решения задания из учебника Дорофеев, Суворова, Бунимович 10-11 класс, Просвещение:
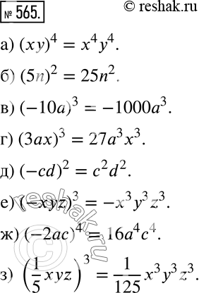
565 Действуем по правилу Возведите в степень:
а) (ху)4;
б) (5а)2;
в) (-10а)3;
г) (3аx)3;
д) (-cd)2;
е) (-хуz)3;
ж) (-2ас)4;
з) (1/5*xyz)3.
*размещая тексты в комментариях ниже, вы автоматически соглашаетесь с пользовательским соглашением