Упр.586 ГДЗ Колягин Ткачёва 11 класс (Алгебра)
Решение #1
Решение #2

Рассмотрим вариант решения задания из учебника Колягин, Ткачёва, Фёдорова 11 класс, Просвещение:
586. Найти произведение комплексных чисел:
1) (2 + 3i)(4 + 5i);
2) (1 - 2i)(5 - i);
3) (-3 - 2i)(2 + 3i);
4) (3 - i)(3 + i);
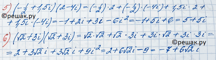
5) (-1/2 + l,5i)(2 - 4i);
6) (корень 2 + 3i)(корень 2 + 3i).
*размещая тексты в комментариях ниже, вы автоматически соглашаетесь с пользовательским соглашением