Упр.598 ГДЗ Колягин Ткачёва 11 класс (Алгебра)
Решение #1
Решение #2

Рассмотрим вариант решения задания из учебника Колягин, Ткачёва, Фёдорова 11 класс, Просвещение:
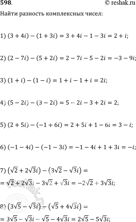
598. Найти разность комплексных чисел:
1) (3 + 4i) - (1 + 3i);
2) (2 - 7i) - (5 + 2i);
3) (1 + i) -(1 -i);
4) (5-2i)-(3-2i);
5) (2 + 5i) - (-1 + 6i);
6) (-1 - 4i) - (-1 - 3i);
7) (корень 2 + 2 корень 3i)-(3 корень 2 - корень 3i);
8) (3 корень 5- корень 3i)-(корень 5 + 4 корень 3i).
*размещая тексты в комментариях ниже, вы автоматически соглашаетесь с пользовательским соглашением