Упр.63 ГДЗ Дорофеев Суворова 7 класс (Алгебра)
Решение #1

Рассмотрим вариант решения задания из учебника Дорофеев, Суворова, Бунимович 10-11 класс, Просвещение:
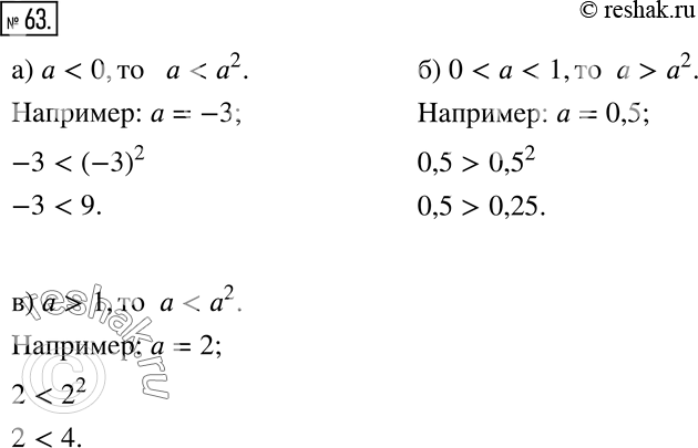
63 Сравните числа а и а2, если известно, что:
a) a < 0; б) 0<а<1; в) а>1.
Подсказка. Проведите числовой эксперимент.
*размещая тексты в комментариях ниже, вы автоматически соглашаетесь с пользовательским соглашением