Упр.631 ГДЗ Колягин Ткачёва 11 класс (Алгебра)
Решение #1
Решение #2

Рассмотрим вариант решения задания из учебника Колягин, Ткачёва, Фёдорова 11 класс, Просвещение:
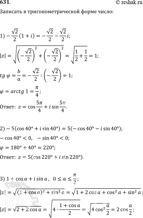
631 Записать в тригонометрической форме комплексное число:
1) -корень 2/2 (1+i);
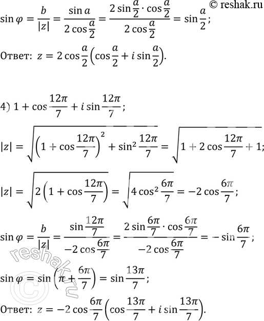
2) 1+cosa + isina, 0<=a<=пи/2;
3) -5(cos40 + isin40);
4) 1+cos 12пи/7 + isin 12пи/7.
*размещая тексты в комментариях ниже, вы автоматически соглашаетесь с пользовательским соглашением