Упр.662 ГДЗ Колягин Ткачёва 11 класс (Алгебра)
Решение #1
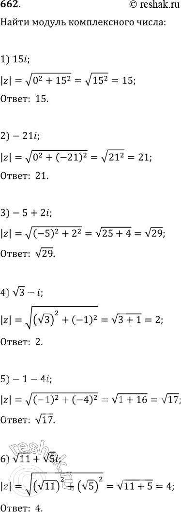
Решение #2

Рассмотрим вариант решения задания из учебника Колягин, Ткачёва, Фёдорова 11 класс, Просвещение:
662. Найти модуль комплексного числа:
1) 15i; 2) -21i; 3) -5 + 2i; 4) корень 3-i; 5) -1 - 4i; 6) корень 11 + корень 5i.
*размещая тексты в комментариях ниже, вы автоматически соглашаетесь с пользовательским соглашением