Упр.75 ГДЗ Колягин Ткачёва 11 класс (Алгебра)
Решение #1
Решение #2

Рассмотрим вариант решения задания из учебника Колягин, Ткачёва, Фёдорова 11 класс, Просвещение:
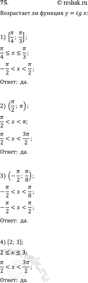
75. (Устно.) Выяснить, является ли функция у = tgx возрастающей на промежутке:
1) [пи/4;пи/3];
2) (пи/2;пи);
3) (-пи/2;пи/8);
4) [2;3].
*размещая тексты в комментариях ниже, вы автоматически соглашаетесь с пользовательским соглашением