Упр.777 ГДЗ Колягин Ткачёва 11 класс (Алгебра)
Решение #1
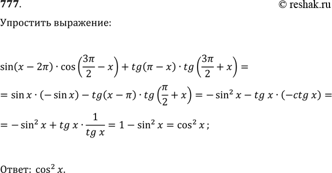
Решение #2

Рассмотрим вариант решения задания из учебника Колягин, Ткачёва, Фёдорова 11 класс, Просвещение:
777 sin(x- 2пи) cos(3пи/2 - x) + tg(пи - x) tg(3пи/2 + x).
*размещая тексты в комментариях ниже, вы автоматически соглашаетесь с пользовательским соглашением