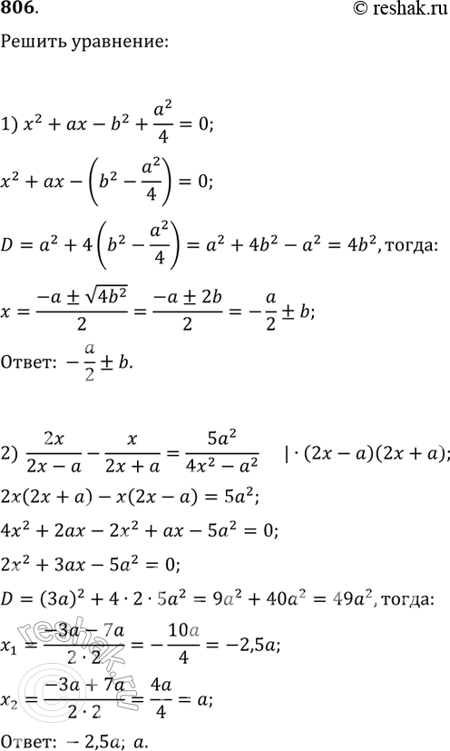
Упр.806 ГДЗ Колягин Ткачёва 11 класс (Алгебра)
Решение #1
Решение #2

Рассмотрим вариант решения задания из учебника Колягин, Ткачёва, Фёдорова 11 класс, Просвещение:
806 1) x2+ax-b2 + a2/4=0;
2) 2x/2x-a - x/2x+a = 5a2/4x2-a2.
*размещая тексты в комментариях ниже, вы автоматически соглашаетесь с пользовательским соглашением