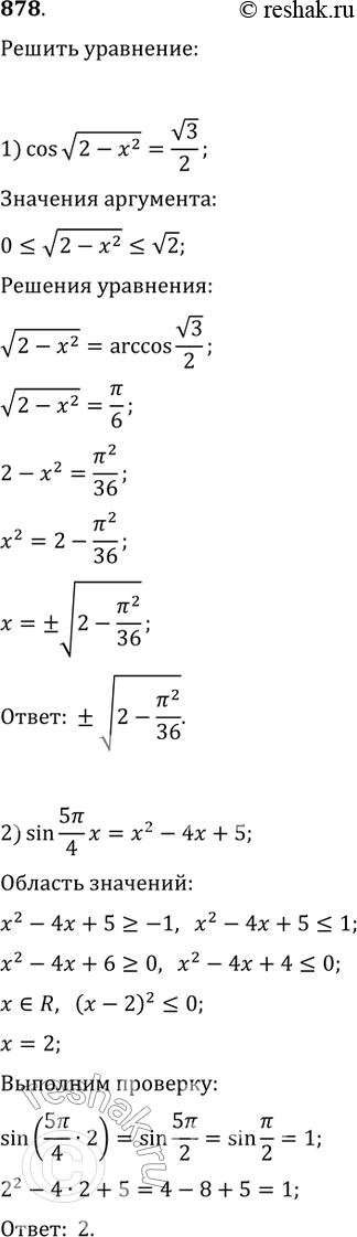
Упр.878 ГДЗ Колягин Ткачёва 11 класс (Алгебра)
Решение #1
Решение #2

Рассмотрим вариант решения задания из учебника Колягин, Ткачёва, Фёдорова 11 класс, Просвещение:
Решить уравнение (878—881).
878 1) cos корень 2-x2 = корень 3/2;
2) sin 5пи/4 x = x2-4x+5.
*размещая тексты в комментариях ниже, вы автоматически соглашаетесь с пользовательским соглашением