Упр.886 ГДЗ Колягин Ткачёва 11 класс (Алгебра)
Решение #1
Решение #2

Рассмотрим вариант решения задания из учебника Колягин, Ткачёва, Фёдорова 11 класс, Просвещение:
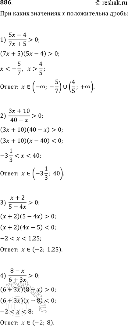
886. При каких значениях x положительна дробь:
1) 5x-4/7x+5;
2) 3x+10/40-x;
3) x+2/5-4x;
4) 8-x/6+3x?
*размещая тексты в комментариях ниже, вы автоматически соглашаетесь с пользовательским соглашением